Red Proteger®

 

 

Resolución 676/99

(texto actualizado)

Secretaría de Industria, Comercio y Minería

DEFENSA DEL CONSUMIDOR


 

Requisitos esenciales de seguridad en relación con la comercialización de artefactos, equipos, accesorios y recipientes que utilizan gas natural, gas licuado, o cualquier otro combustible gaseoso distribuido por red o envasado. Certificación de producto otorgada por un organismo de certificación autorizado.

Bs. As., 15/9/99

Ver Antecedentes Normativos

VISTO el expediente Nº 064-009854/99 del Registro del MINISTERIO DE ECONOMIA Y OBRAS Y SERVICIOS PUBLICOS, y

CONSIDERANDO :

Que resulta necesario garantizar a los consumidores la seguridad en la utilización de artefactos, equipos, accesorios y recipientes que utilicen gas natural, gas licuado o cualquier otro combustible gaseoso distribuido por red o envasado, bajo condiciones previsibles y normales de uso.

Que es función del Estado Nacional establecer cuáles son los requisitos de seguridad que deben cumplir los productos mencionados, para permitir su comercialización y crear un mecanismo que garantice su cumplimiento.

Que en materia de instalación, la SECRETARIA DE ENERGIA, dependiente del MINISTERIO DE ECONOMIA Y OBRAS Y SERVICIOS PUBLICOS, y el ENTE NACIONAL REGULADOR DEL GAS han puesto en vigencia normativas que incluyen condiciones de seguridad de los productos a utilizarse con combustibles gaseosos.

Que los regímenes citados incluyen la participación de entidades certificadoras autorizadas para tal fin.

Que tanto la SECRETARIA DE ENERGIA como el ENTE NACIONAL REGULADOR DEL GAS han expresado su interés en el establecimiento de un régimen de control sobre la comercialización de artefactos, equipos, accesorios y recipientes para combustibles gaseosos.

Que el sistema de certificación por tercera parte constituye un mecanismo apto para lograr dichos fines, e internacionalmente adoptado.

Que el Estado Nacional debe velar por la adecuación de las normas así como que las certificaciones respectivas sean extendidas por organismos de comprobada competencia técnica de acuerdo con el estado del arte en la materia y reconocidos por esta Secretaría.

Que el cumplimiento de normas de seguridad no exime de exigencias obligatorias derivadas de otras normas técnicas o de comercialización dictadas por organismos con autoridad competente en cada materia.

Que resulta conveniente articular un procedimiento de control para la comercialización de los productos mencionados que armonice la totalidad de las disposiciones dictadas por los organismos competentes en materia de seguridad, para el aseguramiento y protección del consumidor, de modo de reducir los costos funcionales de los programas de aplicación

Que solamente se debe permitir la comercialización de los productos mencionados que cumplan las normas vigentes.

Que resulta conveniente que el cumplimiento de la presente Resolución quede evidenciado mediante un sello de seguridad, cuya incorporación sea autorizada por las entidades certificadoras reconocidas, para conocimiento y orientación de consumidores y usuarios de los productos comprendidos por la presente.

Que en el caso, las normas y especificaciones vigentes cubren procedimientos de producción que garantizan la seguridad del usuario en condiciones normales y previsibles de uso.

Que la SECRETARIA DE INDUSTRIA, COMERCIO y MINERIA como autoridad de aplicación de los regímenes de certificación obligatoria mencionados precedentemente, está en condiciones de evaluar los requisitos legales de dichos regímenes en lo relativo a la participación de entidades certificadoras y laboratorios, sin perjuicio de las autorizaciones que pudieran ser exigidas por otros organismos competentes.

Que la DIRECCION NACIONAL DE COMERCIO INTERIOR resulta, por su especificidad, el órgano idóneo para ello.

Que la DIRECCION GENERAL DE ASUNTOS JURIDICOS del MINISTERIO DE ECONOMIA Y OBRAS Y SERVICIOS PUBLICOS ha tomado la intervención que le compete.

Que la presente se dicta en uso de las facultades otorgadas por los artículos 11 y 12 inciso b) de la Ley Nº 22.802, los artículos 41 y 43 inciso a) de la Ley Nº 24.240 y el Decreto 1183 del 12 de noviembre de 1997.

Por ello,

EL SECRETARIO DE INDUSTRIA, COMERCIO Y MINERIA

RESUELVE:

 

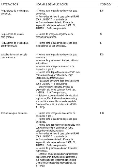
Art. 1º — Sólo podrán comercializarse en el país los artefactos, equipos, accesorios y recipientes mencionados en el ANEXO I, que en SEIS (6) planillas forma parte de la presente Resolución, y que utilizan gas natural, gas licuado, o cualquier otro combustible gaseoso distribuido por red o envasado, cuando cumplan con los requisitos esenciales de seguridad que se detallan en el ANEXO II, que en CINCO (5) planillas forma parte de la presente Resolución.

A este efecto se considerará como comercialización a toda transferencia, a cualquier título, aún como parte de un bien mayor.

Art. 2º — Los fabricantes, importadores, distribuidores, mayoristas y minoristas de los productos alcanzados por la presente Resolución, deberán hacer certificar o exigir la certificación según el caso, del cumplimiento de los requisitos esenciales de seguridad mencionados en el Artículo 1º, mediante una certificación de producto por marca de conformidad, otorgada por un organismo de certificación autorizado por el ENTE NACIONAL REGULADOR DEL GAS, la SECRETARÍA DE ENERGIA, o ambos, según corresponda, y reconocido por la DIRECCION NACIONAL DE COMERCIO INTERIOR, dependiente de la SUBSECRETARIA DE COMERCIO INTERIOR de esta Secretaría, con arreglo a las Resoluciones S.I.C. y M. Nº 123 del 3 de Marzo de 1999 y Nº 431 del 28 de Junio de 1999 y su modificatoria Resolución S.I.C. y M. Nº 640 del 1 de Septiembre de 1999, en lo que no se opongan a lo dispuesto por la presente Resolución.

Dichos requisitos de seguridad se considerarán plenamente asegurados si se satisfacen las exigencias de seguridad establecidas en las normas citadas en el mencionado ANEXO I. Corresponde al ENTE NACIONAL REGULADOR DEL GAS, a la SECRETARIA DE ENERGIA, o a ambos, según el caso, el dictado y actualización de las normas y especificaciones citadas en el ANEXO I, como así también proponer a esta Secretaría la actualización del listado de productos incluidos en dicho ANEXO.

La implementación de esta exigencia seguirá el procedimiento y los plazos establecidos en el ANEXO III, que en DOS (2) planillas forma parte de la presente Resolución.

En cumplimiento de las diferentes etapas de aplicación de la presente Resolución, las certificaciones correspondientes a los productos alcanzados deberán ser presentadas ante la DIRECCION NACIONAL DE COMERCIO INTERIOR.

Las entidades certificadoras reconocidas deberán comunicar fehacientemente a este último organismo las altas y bajas producidas en los respectivos listados de productos por ellas certificados, dentro de los DIEZ (10) días hábiles de producidas.

La certificación de un producto incluirá todas las partes, piezas, accesorios o recipientes que se encuentren formando parte del producto en cuestión.

Los productos certificados según lo establecido precedentemente, además del logotipo indeleble de identificación de modelo aprobado, que actualmente exige el ENTE NACIONAL REGULADOR DEL GAS en su caso, exhibirán el sello de seguridad a establecer oportunamente por esta Secretaría.

Art. 3º — La DIRECCION NACIONAL DE COMERCIO INTERIOR, con carácter transitorio y durante los primeros NOVENTA (90) días de vigencia de la presente Resolución, podrá reconocer organismos de certificación que no hayan cumplido los requisitos de acreditación establecidos por el artículo 2º de la Resolución S.I.C. y M. Nº 431/99.

Es condición necesaria para mantener el reconocimiento mencionado la obtención, por parte de las entidades alcanzadas, de su acreditación ante el organismo de acreditación perteneciente al SISTEMA NACIONAL DE NORMAS, CALIDAD Y CERTIFICACION, dentro del plazo de UN (1) año a partir del respectivo reconocimiento por la DIRECCION NACIONAL DE COMERCIO INTERIOR.

Art. 4º — La DIRECCION GENERAL DE ADUANAS, dependiente de la ADMINISTRACION FEDERAL DE INGRESOS PUBLICOS, autorizará la importación para el consumo de los artefactos, equipos, accesorios y recipientes que utilicen combustibles gaseosos a que hace referencia la presente resolución, previa verificación del cumplimiento de los requisitos establecidos en el Artículo 2º. A tal efecto la DIRECCION NACIONAL DE COMERCIO INTERIOR proveerá a la DIRECCION GENERAL DE ADUANAS la información necesaria.

(Nota Infoleg: Por art. 1° de la Resolución N°101/2001 de la Secretaría de la Competencia, la Desregulación y la Defensa del Consumidor B.O. 5/9/2001, se difiere hasta el 1° de abril de 2001 la obligatoriedad de certificación por marca de conformidad para los artefactos, equipos, accesorios y recipientes para combustibles gaseosos.)

Art. 5º — La certificación otorgada según lo establece la presente Resolución no exime a los responsables de los productos alcanzados, del cumplimiento de reglamentaciones vigentes en otros ámbitos ni de su responsabilidad por el cumplimiento de lo indicado en el Artículo 1º de la presente Resolución.

En los casos en que los responsables de los productos, posteriormente a la introducción de éstos en el mercado, tomen conocimiento de un apartamiento en el cumplimiento de las respectivas normas de seguridad, que los tornan peligrosos, deberán comunicar inmediatamente tal circunstancia a las autoridades competentes y a los consumidores mediante anuncios publicitarios que garanticen la difusión necesaria a criterio de la Autoridad de Aplicación.

Art. 6º — La DIRECCION NACIONAL DE COMERCIO INTERIOR evaluará el desenvolvimiento de las entidades certificadoras en cuanto al cumplimiento de las disposiciones de las cuales resulte autoridad de aplicación.

El ENTE NACIONAL REGULADOR DEL GAS y la SECRETARIA DE ENERGIA evaluarán el desenvolvimiento de las entidades certificadoras en lo atinente al cumplimiento de las condiciones según las cuales fueron por aquéllos autorizadas, como así también efectuarán el seguimiento de dichas entidades certificadoras en lo que hace al cumplimiento de las disposiciones acerca de las cuales ambos organismos son autoridades de aplicación.

Art. 7º — La totalidad de las disposiciones contenidas en la presente Resolución serán de aplicación para los organismos de certificación autorizados a la fecha, como así también para aquellos que eventualmente se incorporen a este sistema.

Art. 8º — La DIRECCION NACIONAL DE COMERCIO INTERIOR, dependiente de la SUBSECRETARIA DE COMERCIO INTERIOR de esta Secretaría, queda facultada para dictar las medidas que resulten necesarias para interpretar, aclarar e implementar lo dispuesto por la presente Resolución.

Art. 9º — Las infracciones a lo dispuesto por la presente Resolución serán sancionadas de acuerdo con lo previsto por la Ley Nº 22.802 y, en su caso, por la Ley Nº 24.240.

Art. 10. — La presente resolución tendrá vigencia a partir de los SESENTA (60) días de su publicación en el Boletín Oficial.

Art. 11. — Comuníquese, publíquese, dése a la Dirección Nacional del Registro Oficial y archívese. — Alieto A. Guadagni.

(Nota Infoleg: Por art. 3° de la Resolución N°261/2000 de la Secretaría de Defensa de la Competencia y del Consumidor B.O. 16/11/2000, se extiende hasta el 30 de junio de 2001 la validez de los certificados para los productos alcanzados por esta Resolución, emitidos por organismos de certificación autorizados por el ENTE NACIONAL REGULADOR DEL GAS, la SECRETARIA DE ENERGIA o ambos según corresponda, presentados por sus responsables o por las entidades certificadoras intervinientes ante la DIRECCION NACIONAL DE COMERCIO INTERIOR, dependiente de esta Secretaría.)

 

 

 

 

ANEXO II

REQUISITOS DE SEGURIDAD

 

1. CONDICIONES GENERALES

1.1. El diseño y la fabricación de los elementos deberá ser tal que éstos funcionen con seguridad total y no entrañen peligro para las personas, los animales domésticos ni los bienes, siempre que se utilicen en condiciones normales de funcionamiento.

A efectos de la presente Resolución, se entenderá que los elementos están "en condiciones normales de funcionamiento", cuando simultáneamente:

     

  1. estén correctamente instalados y sean sometidos a un mantenimiento periódico de conformidad con las instrucciones del fabricante,
  2. se utilicen con la variación normal en la calidad del gas y la fluctuación normal en la presión de suministro, y
  3. se utilicen de acuerdo con los fines previstos, o en cualquier otra forma razonablemente previsible.

     

1.2. Todos los elementos se pondrán en el mercado provistos de advertencias oportunas en el propio elemento y en su embalaje y, además, según lo indicado en la columna respectiva del cuadro del Anexo I:

     

  1. acompañados de un manual de información técnica destinado al instalador;
  2. acompañados del manual de instrucciones para su uso y mantenimiento, destinadas al usuario.

     

Dichas instrucciones y advertencias deberán estar redactadas en idioma castellano.

1.2.1. El manual de información técnica destinado al instalador deberá contener todas las instrucciones de instalación, de regulación y de mantenimiento necesarias para la correcta ejecución de dichas funciones y para la utilización segura del elemento. El manual deberá precisar, en particular y según sea de aplicación:

     

  1. el tipo de gas utilizado,
  2. la presión de suministro,
  3. la cantidad de ingreso de aire exigido:

     

—para la alimentación en aire de combustión

—para evitar la creación de mezclas con un contenido peligroso de gas no quemado para los aparatos no provistos del dispositivo contemplado en el punto 3.2.3,

     

  1. las condiciones de evacuación de los gases de combustión.

     

1.2.2. Las instrucciones de uso y mantenimiento destinadas al usuario deberán incluir toda la información necesaria para el uso en condiciones de seguridad, incluido el mantenimiento, y en particular deberán llamar la atención del usuario sobre las posibles restricciones referidas a su uso.

1.2.3. Las advertencias que figuren en artefactos y en sus embalajes deberán indicar de forma clara el tipo de gas, la presión de suministro y las posibles restricciones referidas a su uso, en particular la advertencia de no instalar el aparato en locales que no dispongan de la ventilación suficiente.

1.3. El diseño y la fabricación de las partes destinadas a ser utilizadas en un artefacto o equipo deberá ser tal que, montados de acuerdo con las instrucciones del fabricante de dichas partes, funcionen correctamente para los fines previstos.

Las partes se suministrarán acompañadas de las instrucciones para su instalación, regulación, empleo y mantenimiento.

 

2. MATERIALES

2.1. Los materiales serán adecuados para el uso al que vayan a ser destinados y serán resistentes a las condiciones mecánicas, químicas y térmicas a las que tengan que ser sometidos.

2.2. Aquellas propiedades de los materiales que sean importantes para la seguridad deberán ser garantizadas por el fabricante o el proveedor del aparato.

 

3. DISEÑO Y CONSTRUCCION

3.1. Generalidades

3.1.1. Los elementos se fabricarán de manera que, cuando se utilicen en condiciones normales de funcionamiento, no se produzca ningún desajuste, deformación, rotura o desgaste que pueda representar una merma de la seguridad.

3.1.2. La condensación que pueda producirse al poner en marcha el artefacto o equipo o durante su funcionamiento, no deberá disminuir su seguridad.

3.1.3. El diseño y la fabricación de los elementos deberán ser tales que los riesgos de explosión en caso de incendio de origen externo, sean mínimos.

3.1.4. Los elementos se diseñarán y fabricarán de manera que impidan la entrada inadecuada de agua y de aire en el circuito de gas.

3.1.5. En caso de fluctuación, normal o anormal, de la energía auxiliar, el artefacto deberá continuar funcionando de forma totalmente segura.

3.1.6. En caso de interrupción de la alimentación de energía auxiliar y de reanudación de dicha alimentación, ellas no deberán constituir fuente de peligro.

3.1.7. El diseño y la fabricación de los elementos deberán ser tales que se prevengan los riesgos de origen eléctrico. Este requisito se considerará satisfecho cuando se cumplan, en su ámbito de aplicación, los objetivos de seguridad respecto a los peligros eléctricos previstos en la Resolución SICyM Nº 92/98.

3.1.8. Todas las partes del elemento sometidas a presión o a temperatura deberán resistir, sin deformarse hasta el punto de comprometer la seguridad, las tensiones mecánicas y térmicas a que estén sometidas.

3.1.9. El elemento deberá diseñarse y ser construido de manera que el fallo de uno de sus dispositivos de seguridad, de control o de regulación, no constituya un peligro.

3.1.10. Si un elemento está equipado con dispositivos de seguridad y de regulación, los dispositivos de regulación funcionarán sin obstaculizar el funcionamiento de los de seguridad.

3.1.11. Todos los componentes de un artefacto que hayan sido instalados o ajustados en él en la fase de fabricación, y que no deban ser manipulados por el usuario ni por el instalador, irán adecuadamente protegidos para evitar su modificación o accionamiento, sean éstos voluntarios o accidentales.

3.1.12. Las manecillas u órganos de mando y de regulación deberán identificarse de manera precisa e incluir todas las indicaciones útiles para evitar cualquier falsa maniobra. Estarán concebidos de forma que se impidan las manipulaciones involuntarias.

3.2. Liberación de gas sin quemar

3.2.1. Los artefactos deberán fabricarse de manera que la cantidad de gas liberado sea siempre una cantidad que no entrañe ningún riesgo.

3.2.2. Todo artefacto deberá fabricarse de manera que la liberación de gas durante el encendido, el reencendido, y tras la extinción de la llama, sea lo suficientemente limitada como para evitar la acumulación peligrosa de gas sin quemar dentro del artefacto.

3.2.3. Los artefactos deberán estar provistos de un dispositivo específico que evite una liberación peligrosa de gas no quemado.

3.3. Encendido

Todo artefacto estará fabricado de manera que, en condiciones normales de funcionamiento el encendido y el reencendido se realicen con suavidad.

3.4. Combustión

3.4.1. Todo artefacto deberá fabricarse de manera que, en condiciones normales de utilización, se garantice la estabilidad de la llama y los productos de combustión no contengan concentraciones inaceptables de sustancias nocivas para la salud.

3.4.2. Todo artefacto deberá fabricarse de manera que, en condiciones normales de utilización, no se produzca un escape imprevisto de productos de combustión.

3.4.3. Todos los artefactos que vayan unidos a un conducto de evacuación de los productos de combustión deberán estar construidos de modo que, en caso de tiro defectuoso de dicho conducto, no se produzcan escapes de productos de combustión hacia el local en que se utilicen.

3.4.4. Los artefactos de calefacción individuales y los calentadores de agua no deberán dar lugar a una concentración de monóxido de carbono en el local en que se utilicen que pueda presentar riesgos para la salud de las personas expuestas en función del tiempo de exposición previsible de dichas personas.

3.5. Utilización racional de la energía

Todo artefacto deberá fabricarse de manera que se garantice una utilización racional de la energía acorde con el estado de desarrollo de la técnica y que tenga en cuenta los aspectos de seguridad.

3.6. Temperaturas

3.6.1. Las partes de un artefacto que vayan a estar próximas al suelo u otras superficies no deberán alcanzar temperaturas que entrañen peligro para su entorno.

3.6.2. La temperatura de los botones y mandos de regulación destinados a ser manipulados no deberán superar valores que entrañen peligro para el usuario.

3.6.3. La temperatura superficial de las partes externas de un artefacto, excepción hecha de las superficies o partes que participen en la función de transmisión del calor, no alcanzará, en condiciones normales de funcionamiento, valores que entrañen peligro para el usuario, y en particular para los niños.

3.7. Alimentos y agua para usos sanitarios

Sin perjuicio de lo dispuesto por toda otra normativa sobre la materia, los materiales y componentes utilizados en la construcción de los elementos que puedan entrar en contacto con alimentos o agua para usos sanitarios no deberán reducir la calidad de dichos alimentos o agua.

 

ANEXO III

PLAZOS Y PROCEDIMIENTOS

1. Durante los primeros TRESCIENTOS SESENTA (360) días a partir de la puesta en vigencia de la presente Resolución, se admitirán como válidos los certificados que a la fecha de la presente hayan sido extendidos por organismos de certificación autorizados por el ENTE NACIONAL REGULADOR DEL GAS, la SECRETARÍA DE ENERGIA o ambos, según corresponda, a condición de ser presentados por los responsables de los respectivos productos o por las entidades certificadoras intervinientes, dentro de los TREINTA (30) días de entrada en vigencia de la presente Resolución, ante la DIRECCION NACIONAL DE COMERCIO INTERIOR para su registro.

Con referencia a los organismos de certificación autorizados hasta el día de la fecha por el ENTE NACIONAL REGULADOR DEL GAS, la SECRETARIA DE ENERGIA o ambos, según corresponda, que soliciten su reconocimiento ante esta Secretaría durante los primeros NOVENTA (90) días de vigencia de la presente, se tendrán por válidos los certificados que emitan dichos organismos a partir de la presentación de dicha solicitud de reconocimiento y hasta tanto se expida esta Secretaría al respecto.

Durante los primeros TRESCIENTOS SESENTA (360) días de vigencia de la presente Resolución, y hasta tanto los productos cuenten con el sello de seguridad mencionado, los productores, importadores o distribuidores deberán poner en conocimiento de los compradores, en forma fehaciente, el cumplimiento de las certificaciones de seguridad que poseen los productos que comercializan. A tal fin deberán emitir una planilla conteniendo: detalle de los productos o familia de productos, marcas e identificaciones comerciales, número de trámite de presentación ante la DIRECCION NACIONAL DE COMERCIO INTERIOR, número de certificado y certificadora interviniente.

2. A partir de los TRESCIENTOS SESENTA (360) días de la entrada en vigencia de la presente Resolución, todos los productos alcanzados por ésta deberán contar con un certificado de producto por sistema de marca de conformidad adoptando, a elección del responsable del producto, uno de los siguientes sistemas de los recomendados por la Resolución MERCOSUR / GMC Nº 19/92:

a) Sistema 5. — Ensayo de tipo y ensayo de muestras tomadas en el comercio, en fábrica y/o en depósito y evaluación del sistema de calidad del fabricante.

b) Sistema 7. — Ensayo de lote, el que deberá realizarse por cada lote de fabricación nacional o importado, de acuerdo con lo establecido por la norma IRAM Nº 15.

La certificación será otorgada por un organismo de certificación autorizado por el ENTE NACIONAL REGULADOR DEL GAS, la SECRETARIA DE ENERGIA o ambos según el caso, y reconocido por esta Secretaría.

3. Luego del plazo mencionado en el punto 2. de este ANEXO, los productos ostentarán en su identificación el sello de seguridad a determinar por parte de esta Secretaría, tal cual lo establecido en el Artículo 2º de la presente Resolución.

 

Antecedentes Normativos

- Por art. 1° de la Resolución N°261/2000 de la Secretaría de Defensa de la Competencia y del Consumidor B.O. 16/11/2000, se difiere hasta el 1° de julio de 2001 la obligatoriedad de certificación por marca de conformidad para los artefactos, equipos, accesorios y recipientes para combustibles gaseosos.

- Por art. 1º de la Disposición N°1090/99 de la Dirección Nacional de Comercio Interior, B.O. 9/11/1999, se difiere hasta el 1º de febrero del 2000 la aplicación, por parte de la DIRECCION GENERAL DE ADUANAS, del presente artículo. Con antelación a la fecha mencionada, esta Dirección Nacional suministrará a la DIRECCION GENERAL DE ADUANAS la información necesaria en materia de organismos de certificación reconocidos y certificados registrados por esta dependencia, información que actualizará periódicamente.

 
Sitio desarrollado por el Ing. Néstor Adolfo BOTTA para RED PROTEGER®.
Enviar correo electrónico a webmaster@redproteger.com.ar con preguntas o comentarios sobre este sitio Web.
Copyright © 2000-2012 RED PROTEGER®
Última modificación: 05 de abril de 2012